Эффективность конструктивной огнезащиты на основе минераловатных плит при ускоренном климатическом старении
https://doi.org/10.37538/2224-9494-2025-4(47)-47-61
EDN: MXWWXR
Аннотация
Введение. Эффективность огнезащитных систем для стальных конструкций определяется их способностью сохранять свойства при воздействии внешних факторов, включая климатические нагрузки. Натурные испытания долговечности покрытий требуют длительного времени, поэтому актуальным является применение ускоренных методик старения. В статье рассмотрены особенности экспериментального определения гарантийного или прогнозируемого сроков эксплуатации конструктивного огнезащитного покрытия на основе минераловатных плит для металлических строительных конструкций в зависимости от условий эксплуатации.
Цель. Исследование сохранения эффективности конструктивной огнезащиты на основе минераловатных плит при климатическом старении в условиях эксплуатации УХЛ2 и УХЛ3 по ГОСТ 15150-69 на примере современного покрытия.
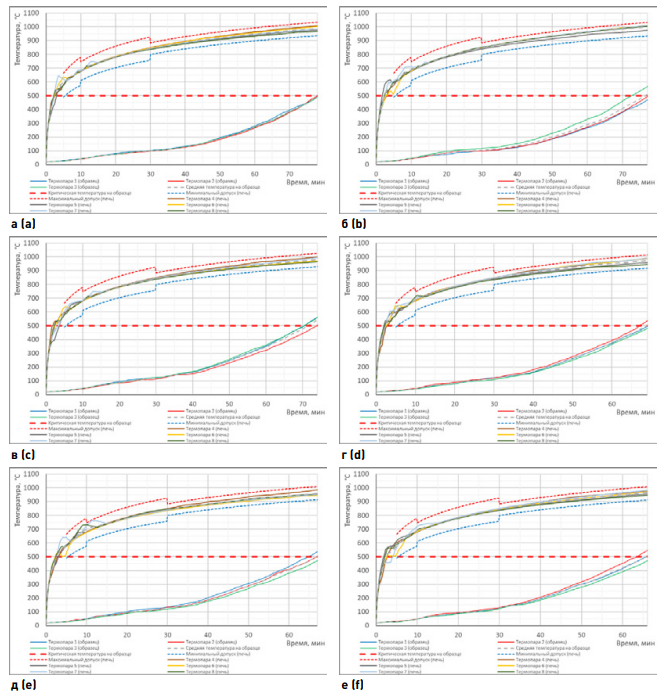
Материалы и методы. В работе проведено циклическое искусственное старение образцов конструктивного огнезащитного покрытия на 5, 10, 15, 20 и 25 лет по методике ГОСТ Р 71618-2024 и оценена стойкость к воздействию климатических факторов и сохранность огнезащитных свойств в процессе эксплуатации тремя методами: измерением теплопроводности по ГОСТ 7076-99, термическим анализом по ГОСТ Р 53293-2009 и огнезащитной эффективностью по ГОСТ Р 53295-2009. Для исследования применялись пластины из листовой стали марки 08кп и 08пс по ГОСТ 16523-97 и ГОСТ 9045-93 размером 600 × 600 × 5 мм с нанесенной на них конструктивной системой «ЕТ-МЕТАЛЛ», включающей минераловатные теплоизоляционные плиты «EURO-ЛИТ» толщиной 30 мм и термостойкий клеящий состав «ПЛАЗАС» толщиной 2 мм.
Результаты. Установлено, что огнезащитная эффективность с увеличением количества циклов искусственного старения снижается и составляет 16,7 % в сторону уменьшения от контрольного образца при 125 циклах (25 лет).
Выводы. Прогнозируемый срок эффективной эксплуатации конструктивной системы «ЕТ-МЕТАЛЛ» на открытом воздухе под навесом (УХЛ2) и внутри зданий с естественной вентиляцией (УХЛ3) составляет не менее 25 лет.
Об авторах
М. А. КомароваРоссия
2-я Институтская ул., д. 6, к. 1, г. Москва, 109428, Российская Федерация
Н. О. Мельников
Россия
2-я Институтская ул., д. 6, к. 1, г. Москва, 109428, Российская Федерация; Миусская площадь, д. 9, стр. 1, г. Москва, 125047, Российская Федерация
И. А. Власкин
Россия
2-я Институтская ул., д. 6, к. 1, г. Москва, 109428, Российская Федерация; Миусская площадь, д. 9, стр. 1, г. Москва, 125047, Российская Федерация
М. В. Шалабин
Россия
2-я Институтская ул., д. 6, к. 1, г. Москва, 109428, Российская Федерация
Список литературы
1. Технический регламент Евразийского экономического союза «О требованиях к средствам обеспечения пожарной безопасности и пожаротушения» (ТР ЕАЭС 043/2017) [интернет]. Режим доступа: https://files.stroyinf.ru/Data2/1/4293744/4293744691.pdf. (дата обращения: 07.09.2025).
2. ГОСТ Р 71618-2024. Конструкции стальные строительные с огнезащитными покрытиями. Методы испытаний антикоррозионных свойств и стойкости к воздействию климатических факторов в процессе эксплуатации. Москва: Российский институт стандартизации; 2024.
3. <i>Комарова М.А., Гришин И.А., Мельников Н.О., Шалабин М.В., Ведяков М.И.</i> Оценка эффективности огнезащитных покрытий в процессе ускоренного климатического старения. Вестник НИЦ Строительство. 2024;42(3):28–46. https://doi.org/10.37538/2224-9494-2024-3(42)-28-46.
4. <i>Комарова М.А., Мельников Н.О., Шалабин М.В., Скоробогатов В.А., Головина Е.В.</i> Огнезащитная эффективность покрытий металлических строительных конструкций при ускоренном климатическом старении. Техносферная безопасность. 2024;(4):3–22.
5. ГОСТ 15150-69. Машины, приборы и другие технические изделия. Исполнения для различных климатических районов. Категории, условия эксплуатации, хранения и транспортирования в части воздействия климатических факторов внешней среды. Москва: Стандартинформ; 2010.
6. ТУ 5762-011-0862-1635-2009. Плиты минераловатные огнезащитные теплоизоляционные EURO-ЛИТ [интернет]. Режим доступа: https://skraska.ru/upload/iblock/71a/euro_lit.pdf.
7. ТУ 23.99.19-013-08621635-2020. Состав термостойкий клеящий «ПЛАЗАС». Технические условия.
8. ГОСТ 16523-97. Прокат тонколистовой из углеродистой стали качественной и обыкновенного качества общего назначения. Технические условия. Москва: Стандартинформ; 2008.
9. ГОСТ 9045-93. Прокат тонколистовой холоднокатаный из низкоуглеродистой качественной стали для холодной штамповки. Технические условия. Минск: Межгосударственный совет по стандартизации, метрологии и сертификации; 1996.
10. ГОСТ 28379-89. Шпатлевки ЭП-0010 и ЭП-0020. Технические условия. Москва: Стандартинформ; 2006.
11. ГОСТ 7076-99. Материалы и изделия строительные. Метод определения теплопроводности и термического сопротивления при стационарном тепловом режиме. Москва: Госстрой России; 2000.
12. ГОСТ Р 53293-2009. Пожарная опасность веществ и материалов. Материалы, вещества и средства огнезащиты. Идентификация методами термического анализа. Москва: Стандартинформ; 2011.
13. ГОСТ Р 53295-2009. Средства огнезащиты для стальных конструкций. Общие требования. Метод определения огнезащитной эффективности. Москва: Стандартинформ; 2009.
14. ГОСТ 30247.0-94. Конструкции строительные. Методы испытаний на огнестойкость. Общие требования. Москва: Издательство стандартов, 2003.
Рецензия
Для цитирования:
Комарова М.А., Мельников Н.О., Власкин И.А., Шалабин М.В. Эффективность конструктивной огнезащиты на основе минераловатных плит при ускоренном климатическом старении. Вестник НИЦ «Строительство». 2025;47(4):47-61. https://doi.org/10.37538/2224-9494-2025-4(47)-47-61. EDN: MXWWXR
For citation:
Komarova M.A., Melnikov N.O., Vlaskin I.A., Shalabin M.V. Efficiency of mineral wool slabs for fire protection of structures under accelerated climatic aging. Bulletin of Science and Research Center of Construction. 2025;47(4):47-61. (In Russ.) https://doi.org/10.37538/2224-9494-2025-4(47)-47-61. EDN: MXWWXR


















