Перейти к:
Некоторые подходы к технологии соединения арматурных стержней
https://doi.org/10.37538/2224-9494-2025-3(46)-101-112
EDN: LASUBL
Аннотация
Введение. Вопрос соединения арматурных стержней имеет важное значение, так как влияет на качество изготавливаемых конструкций. Авторами рассматривается технология сварного вида соединения арматурных стержней с применением муфт-втулок, предлагаемая в качестве одного из альтернативных вариантов для сварных и механических видов соединения арматурных стержней, разрешенных нормативными документами.
Цель. Рассмотрение альтернативного варианта соединения арматурных стержней, рекомендуемого для применения в случаях с небольшими объемами работ и удаленным месторасположением объектов строительства (в случаях с затрудненной и экономически неоправданной доставкой оборудования для нарезки резьбы или для изготовления опрессованных соединений), а также в сейсмически опасных районах.
Материалы и методы. Производится обзор нормативных документов, регламентирующих вопросы соединения арматурных стержней, включая требования к соединению арматурных стержней в сейсмически опасных районах. Представлены схемы соединения арматурных стержней с применением муфт-втулок с помощью сварки.
Результаты. Предложены схемы соединения арматурных стержней разного диаметра с вариантами сварных швов. Приводится пример расчета, подтверждающий работоспособность предложенного подхода.
Выводы. Представленный в статье способ предлагается рассматривать как один из вариантов решения сварного соединения арматурных стержней, который может применяться при строительстве в сейсмически опасных районах.
Ключевые слова
Для цитирования:
Фардзинов Г.Г., Тускаева З.Р., Дзапаров А.Э. Некоторые подходы к технологии соединения арматурных стержней. Вестник НИЦ «Строительство». 2025;46(3):101-112. https://doi.org/10.37538/2224-9494-2025-3(46)-101-112. EDN: LASUBL
For citation:
Fardzinov G.G., Tuskaeva Z.R., Dzaparov A.E. Some approaches to the technology of connecting reinforcing bars. Bulletin of Science and Research Center of Construction. 2025;46(3):101-112. (In Russ.) https://doi.org/10.37538/2224-9494-2025-3(46)-101-112. EDN: LASUBL
Как известно, при строительстве зданий и сооружений, а также при изготовлении конструкций большое распространение имеет железобетон. Вопрос соединения арматурных стержней возникает так или иначе.
В строительстве различают сварные соединения арматурных стержней и соединения, выполняемые без применения сварки [1–6]. Существуют стандарты и нормативы, регламентирующие соединения арматурных стержней:
1) ГОСТ 10922-2012 «Арматурные и закладные изделия, их сварные, вязаные и механические соединения для железобетонных конструкций. Общие технические условия» [7];
2) ГОСТ 14098-2014 «Соединения сварные арматуры и закладных изделий железобетонных конструкций. Типы, конструкции и размеры» [8];
3) ГОСТ 34278-2024 «Соединения арматуры механические для железобетонных конструкций. Технические условия» [9];
4) СП 63.13330.2018 «Бетонные и железобетонные конструкции. Основные положения» [10];
5) СП 14.13330.2018 «Строительство в сейсмических районах» [11] и другие.
В ГОСТ 14098-2014 [8] даны виды сварного метода соединения арматурных стержней, а также регламентируются размеры их элементов. В данный межгосударственный стандарт включены соединения со сваркой стержней внахлест (с расцентровкой стержней) и встык (осевые линии стержней центрируются относительно друг друга). В документе рассматриваются соединения встык с применением арматурных накладок и накладок в виде стальной скобы.
Соединения, выполняемые без применения сварки, бывают следующих видов:
– внахлест, методом вязки арматурных стержней (ГОСТ 10922-2012 (Приложение Ж) [7]);
– встык, методом механического соединения арматурных стержней с помощью муфт (согласно ГОСТ 34278-2024 [9]: резьбовые соединения, опрессованные соединения, винтовые соединения).
Группа компаний «ПромСтройКонтракт» предлагает муфтовые механические соединения арматуры (МСА) [12–14] и говорит о дальнейшем их совершенствовании.
Производитель приводит следующие преимущества предлагаемых технологий МСА:
– равномерное распределение прочности по всей длине арматурного стержня;
– высокая интенсивность сборки армокаркасов;
– сокращение сроков строительства;
– уменьшение расходов арматурных стержней;
– упрощенный контроль качества стыков.
Требования к соединению арматурных стержней представлены в пунктах 10.3.29–10.3.32 [10]. Согласно пункту 10.3.32, при использовании для стыков арматуры механических устройств в виде муфт (муфты на резьбе, опрессованные муфты и т. д.) несущая способность муфтового соединения должна быть такой же, что и стыкуемых стержней. Также при использовании муфт на резьбе требуется обеспечение затяжки муфт для ликвидации люфта в резьбе. В дополнение к пунктам 10.3.29–10.3.32 требования к соединениям арматурных стержней представлены и в положениях подраздела 11.2 [10].
Для сейсмических районов требования к соединению арматурных стержней обозначены в пунктах 6.7.12, 6.8.5, 6.8.12, 6.11.10 [10]. По технологии МСА, согласно пункту 6.7.12, допускается применение для соединений арматуры специальных механических соединений (опрессованных или резьбовых муфт). При этом уточняется, что при диаметре стержней 20 мм и более соединение стержней и каркасов следует выполнять с помощью сварки или специальных механических соединений (опрессованных и резьбовых муфт) независимо от сейсмичности площадки.
В данной работе авторы статьи не ставят цель подвергнуть сомнению имеющиеся преимущества муфтовых механических соединений. Предлагаемые подходы эффективны для больших объемов строительства, апробированы на крупных стройках, разрешены нормативами. Однако при небольших объемах строительства, на малых объектах, а также в некоторых других случаях, включая строительство в сейсмически опасных районах, требуются, на наш взгляд, несколько иные подходы, иные технологии.
Предлагаем применять муфты-втулки, которые вырезаются из труб диаметром 20, 24, 26, 32, 34, 36, 38, 42 и 48 мм соответственно для диаметров рассматриваемых рабочих арматурных стержней 10, 12, 14, 16, 18, 20, 22, 25 и 28 мм (номинальные диаметры по ГОСТ 34028-2016 «Прокат арматурный для железобетонных конструкций. Технические условия» [15]) (рис. 1).

Рис. 1. Схемы поперечных сечений сварных соединений арматурных стержней с помощью металлических муфт-втулок с прорезями для сварки (сварка условно не показана)
Fig. 1. Cross-sections of rebar welded joints using metal coupling sleeves with slots for welding (welding is not shown)
Муфты-втулки вырезаются из труб стальных бесшовных холоднодеформированных (ГОСТ 8733-74 «Трубы стальные бесшовные холоднодеформированные и теплодеформированные. Технические требования» [16], ГОСТ 8734-75 «Трубы стальные бесшовные холоднодеформированные. Сортамент» [17]) или из труб стальных бесшовных горячедеформированных (ГОСТ 8731-74 «Трубы стальные бесшовные горячедеформированные. Технические требования» [18], ГОСТ 8732-78 «Трубы стальные бесшовные горячедеформированные. Сортамент» [19]).
Муфта-втулка представляет собой трубу длиной, примерно равной 120 мм, в которой делаются прорези шириной 5–10 мм и длиной, примерно равной 50 мм. Прорези выполняются вдоль двух взаимно перпендикулярных осей муфт-втулок. Количество прорезей – 4 (рис. 2).

Рис. 2. Элементы сварного соединения арматурных стержней с помощью металлической муфты-втулки с прорезями для сварки:
1 – металлическая муфта-втулка (примерная длина – 120 мм; наружный диаметр – 20–48 мм; внутренний диаметр – 12–31 мм; толщина стенки – 4–8,5 мм) с прорезями (ширина прорезей – 5–10 мм; примерная длина прорезей – 50 мм);
2 – арматурные стержни (номинальный диаметр – 10–28 мм)
Fig. 2. Components of a rebar welded joint using a metal sleeve coupling with slots for welding:
1 – metal sleeve coupling (approximate length is 120 mm; outer diameter is 20–48 mm; inner diameter is 12–31 mm; wall thickness is 4–8.5 mm) with slots (slot width is 5–10 mm; approximate slot length is 50 mm);
2 – reinforcing bars (nomina diameter is 10–28 mm)
Арматурные стержни соединяются встык муфтой-втулкой с помощью сварки (рис. 3). В каждой прорези выполняются один или два сварных шва (рис. 4).

Рис. 3. Схема сварного соединения арматурных стержней с помощью металлической муфты-втулки с прорезями для сварки
Fig. 3. Welded connection of reinforcing bars using a metal sleeve coupling with slots for welding

Рис. 4. Схемы поперечных сечений сварных соединений арматурных стержней с применением муфт-втулок:
1 – вариант сварного соединения с двумя сварными швами в прорези;
2 – то же, с одним сварным швом в прорези
Fig. 4. Cross-sections of rebar welded connections using sleeve couplings:
1 – welded connection with two welds in the slots;
2 – same as above, with one weld in the slot
Одно из преимуществ данного вида соединения, например, перед резьбовыми муфтами технологии МСА – шероховатость (есть адгезия бетона и металла).
Для ускорения работ на строительной площадке есть возможность приваривать муфты-втулки одним концом к рабочим стержням заранее в арматурном цехе.
Работы по сварке рабочих стержней несущих конструкций необходимо подтверждать актами на скрытые работы.
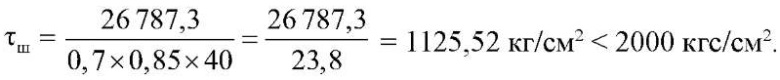
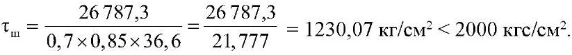
Произведем примерный расчет муфт-втулок для соединения арматуры колонн при строительстве в сейсмически опасном районе. Поперечное сечение колонн, например, 400 × 400 мм или 500 × 500 мм, армированные 8 Ø 28 А500С с общей площадью поперечного сечения для восьми стержней As = 49,26 см². Бетон В25 с призменной прочностью Rb = 133 кгc/см² [20].
Муфты-втулки для стыковки арматурных стержней выполнены из труб наружным диаметром 48 мм и толщиной стенки 8,5 мм. Марка стали 45, временное сопротивление σв = 589 Н/мм² (60 кгс/мм²). Предел текучести σт = 323 Н/мм² (33 кгс/мм²) (согласно [16]). Площадь поперечного сечения Атр = 11,94 см².
Проверим для стержня Ø 28 А500С срез углового шва для марок сталей 14Г2, 10Г2С1, 15ХСНД.
Допускаемое усилие на угловой шов при электродах Э50А [21]:
= 2000 кг/см².
Толщина свариваемого металла – 8,5 мм.
Срез углового шва:

где N = 6,158 см² × 4350 кгс/см² = 26 787,3 кгс – расчетная продольная сила (для арматуры Ø 28 А500С);
hш = 8,5 мм = 0,85 см – катет сварного шва;
Σlш = 8×5 = 40 см – суммарная длина швов, где 8 – количество швов (шт.), 5 – длина одного шва (см);
β = 0,7 – коэффициент для ручной сварки.

Из-за наличия непровара в начале и конце шва расчетная длина углового флангового шва уменьшается на 4×hш = 4×0,85 = 3,4 см. С учетом этого:

Проверим на растяжение (сжатие) сечение трубы, не ослабленной прорезями, и сечение арматуры.
Проверяем для трубы:
N = Aтр×σт = 11,94 × 3,3 = 39,4 тс.
Проверяем для арматуры Ø 28 А500С с площадью поперечного сечения As = 6,158 см² и расчетным сопротивлением арматуры растяжению для предельных состояний первой группы Rs = 435 МПа [10]:
N = As×Rs= 6,158 × 4,35 = 26,8 тс.
Коэффициент надежности:
– для состояний первой группы [10].
Другим вариантом представленного способа является вариант с уменьшением количества прорезей до двух (по оси трубы) по типу незамкнутых прорезей фигуры 1 [22]. В данном варианте предполагается увеличение ширины и (или) длины прорезей для обеспечения требуемых значений. При этом существует необходимость проведения испытаний различных вариантов исполнения данного способа соединения арматурных стержней с учетом имитирования сейсмических нагрузок.
Сравнивая представленный в статье вариант соединения арматурных стержней с вариантами МСА, отметим следующее:
– в варианте с МСА трудно проверить новую резьбу (практически невозможно), а сварочные швы на виду, благодаря чему возможна их контролируемость;
– в предложенном варианте есть адгезия бетона с металлом;
– упрощение сборочных работ – изготовление и применение муфт-втулок проще, чем муфт технологии МСА, так как их можно изготовлять и в построечных условиях.
Учитывая положительные стороны представленного способа соединения арматурных стержней, заключающиеся в доступности материалов и необходимого оборудования, а также в надежности выполненного соединения, обеспечивающего равнопрочное соединение, считаем возможным перспективы его применения.
Следует отметить, что все существующие способы соединения арматурных стержней имеют как положительные, так и отрицательные стороны, и это обстоятельство требует особого анализа в условиях сейсмики. Противоречивость результатов исследований, с учетом сейсмических нагрузок, говорит об актуальности проведения дальнейших работ в данном направлении [23–27].
Выводы
Рассмотренный в статье вариант сварного соединения арматурных стержней с применением металлических муфт-втулок может являться альтернативой для существующих вариантов, входящих в действующие ГОСТ и СП, и применяться при стыковании рабочих стержней в сейсмически опасных районах.
Список литературы
1. <i>Малахова А.Н. </i>Армирование железобетонных конструкций. Москва: МГСУ; 2014.
2. <i>Ершов М.Н., Лапидус А.А., Теличенко В.И.</i> Технологические процессы в строительстве. Книга 5. Технологии монолитного бетона и железобетона. Москва: Изд-во АСВ; 2016.
3. <i>Малахова A.H.</i> Стыки продольной арматуры монолитных колонн. Вестник МГСУ. 2011;(2-1):58–64.
4. <i>Аль Нахди А.С., Аль-Рубасси Х.М.</i> Стыковые соединения продольной арматуры монолитных колонн. Вестник Полоцкого государственного университета. Серия F. Строительство. Прикладные науки. 2014;(16):32–38.
5. <i>Тихонов И.Н.</i> Армирование элементов монолитных железобетонных зданий. Москва: Центр проектной продукции в строительстве; 2007.
6. <i>Дьячков В.В., Климов Д.Е., Слышенков С.О</i>. Применение механических соединений арматуры железобетонных конструкций. Москва: НИИЖБ им. А.А. Гвоздева; 2016.
7. ГОСТ 10922-2012. Арматурные и закладные изделия, их сварные, вязаные и механические соединения для железобетонных конструкций. Москва: Стандартинформ; 2013.
8. ГОСТ 14098-2014. Соединения сварные арматуры и закладных изделий железобетонных конструкций. Типы, конструкции и размеры. Москва: Стандартинформ; 2015.
9. ГОСТ 34278-2024. Соединения арматуры механические для железобетонных конструкций. Технические условия. Москва: Российский институт стандартизации; 2025.
10. СП 63.13330.2018. Бетонные и железобетонные конструкции. Основные положения. Актуализированная редакция СНиП 52-01-2003. Москва: Стандартинформ; 2019.
11. СП 14.13330.2018. Строительство в сейсмических районах. Актуализированная редакция СНиП 11-7–81*. Москва: Стандартинформ; 2018.
12. ЗАО «Промстройконтракт». Технологии механического соединения арматуры. Атомное строительство [интернет]. 2012;(7):18–20. Режим доступа: https://psk-holding.ru/library/articles/files/psk-atomnoestroitelstvo-mufty-armatura-article-publication.pdf (дата обращения: 23.08.2024).
13. Преимущества муфт для стыковки арматуры. ПромСтройКонтракт [интернет]. Режим доступа: https://psk-holding.ru/about/stati/preimushchestva-muft-dlya-stykovki-armatury/ (дата обращения: 23.08.2024).
14. Как муфты для стыковки арматуры увеличивают популярность монолитного строительства. ПромСтройКонтракт [интернет]. Режим доступа: https://psk-holding.ru/about/stati/mufty-dly-armatury/ (дата обращения: 23.08.2024).
15. ГОСТ 34028-2016. Прокат арматурный для железобетонных конструкций. Технические условия. Москва: Стандартинформ; 2019.
16. ГОСТ 8733-74. Трубы стальные бесшовные холоднодеформированные и теплодеформированные. Технические требования [интернет]. Режим доступа: https://ntpz.ru/upload/iblock/b55/kmy1glm5hh7uz-2f56a7x24aprvi45s4m.pdf.
17. ГОСТ 8734-75. Трубы стальные бесшовные холоднодеформированные. Сортамент. Москва: Стандартинформ; 2007.
18. ГОСТ 8731-74. Трубы стальные бесшовные горячедеформированные Технические требования. Москва: ИПК Издательство стандартов; 2004.
19. ГОСТ 8732-78. Трубы стальные бесшовные горячедеформированные. Сортамент. Москва: ИПК Издательство стандартов; 1998.
20. <i>Дыховичный Ю.А., Максименко В.А., Кондратьев А.Н. </i>Жилые и общественные здания: Краткий справочник инженера-конструктора. 3-е изд. Москва: Стройиздат; 1991.
21. Муханов К.К. Металлические конструкции. Основы проектирования. Москва: Госстройиздат; 1963.
22. <i>Романов О.Д., Суруда В.В., Бажутин А.С., Инфатьев В.Д.</i> Стыковое сварное соединение. Патент RU 2481179 C2. Опубл. 10.05.2013.
23. <i>Чепизубов И.Г., Моисеенко Г.А., Степанов М.В.</i> Сравнительный анализ работы муфтовых соединений арматуры и сварных стыков с использованием ванн. Известия высших учебных заведений. Технология текстильной промышленности. 2019;(4):206–210.
24. Техническое заключение о возможности применения систем механического соединения арматурных стержней с конической резьбой LENTON производства фирмы ERICO для строительства в условиях сейсмоопасных районов (юг РФ 7, 8, 9 баллов). Москва: ЦНИИСК им. В.А. Кучеренко АО «НИЦ «Строительство»; 2008.
25. <i>Дьячков В.В.</i> Расчетные и конструктивные требования для механических соединений арматуры железобетонных конструкций. Вестник НИЦ «Строительство». 2017;(4):61–73.
26. <i>Рахманов В.А., Сафонов А.А. </i>Методика контрольных испытаний муфтовых соединений арматуры, имитирующих сейсмические нагрузки. Промышленное и гражданское строительство. 2021;(6):25–31. https://doi.org/110.33622/0869-7019.2021.06.25-31.
27. <i>Тихонов И.Н., Звездов А.И., Кузеванов Д.В., Тихонов Г.И. </i>К оценке сейсмостойкости арматуры и ее механических соединений. Сейсмостойкое строительство. Безопасность сооружений. 2024;(2):29–54. https://doi.org/10.37153/2618-9283-2024-2-29-54.
Об авторах
Г. Г. ФардзиновРоссия
Григорий Гамболович Фардзинов, заслуженный строитель Российской Федерации, заслуженный строитель СО АССР, главный конструктор, ОАО «СЕВОСПРОЕКТ», Владикавказ
пер. Станиславского, д. 5, г. Владикавказ, 362040, Российская Федерация
З. Р. Тускаева
Россия
Залина Руслановна Тускаева, д-р техн. наук, доцент, заведующий кафедрой строительного производства, Северо-Кавказский горно-металлургический институт (государственный технологический университет), Владикавказ
ул. Николаева, д. 44, г. Владикавказ, 362021, Российская Федерация
e-mail: tuskaevazalina@yandex.ru
А. Э. Дзапаров
Россия
Артур Эдуардович Дзапаров*, аспирант кафедры строительного производства, Северо-Кавказский горно-металлургический институт (государственный технологический университет), Владикавказ
ул. Николаева, д. 44, г. Владикавказ, 362021, Российская Федерация
e-mail: art13999@mail.ru
Рецензия
Для цитирования:
Фардзинов Г.Г., Тускаева З.Р., Дзапаров А.Э. Некоторые подходы к технологии соединения арматурных стержней. Вестник НИЦ «Строительство». 2025;46(3):101-112. https://doi.org/10.37538/2224-9494-2025-3(46)-101-112. EDN: LASUBL
For citation:
Fardzinov G.G., Tuskaeva Z.R., Dzaparov A.E. Some approaches to the technology of connecting reinforcing bars. Bulletin of Science and Research Center of Construction. 2025;46(3):101-112. (In Russ.) https://doi.org/10.37538/2224-9494-2025-3(46)-101-112. EDN: LASUBL


















