Preview

Вестник НИЦ «Строительство»

Расширенный поиск

Исследования прочности и деформаций исторической кладки

https://doi.org/10.37538/2224-9494-2025-4(47)-33-46

EDN: MKEEWQ

Содержание

Перейти к:

Аннотация

Введение. Кирпичная кладка исторических зданий имеет ряд особенностей по сравнению с кладкой из современных материалов. Это относится как к прочностным, так и деформационным характеристикам. Неверная оценка деформационных характеристик кладки стен, столбов и т. д. может привести к некорректной оценке величины усилий, перераспределяемых между ними.

Цель. Получение экспериментальных данных по прочности и деформациям кладки из исторического кирпича, в том числе выполненной на известковом растворе; использование полученных результатов для исследования прочности и деформаций кладки, усиленной различными методами (инъекцией раствора, в том числе в сочетании с косвенным армированием, на участках с вычинкой при восстановлении «старой» кладки «новой», совместной работы забутовки и лицевых слоев).

Материалы и методы. Испытывались на сжатие образцы из исторического кирпича в виде столбов и стенок, выполненные на растворах различной прочности, в том числе на известковом растворе. На центральное сжатие равномерно распределенной нагрузкой и на местное сжатие испытывались также образцы, в которых внутренний слой (забутовка) отличался по прочности и деформациям от лицевых слоев.

Результаты. Получены основные прочностные и деформационные характеристики кладки из исторического кирпича, в том числе на известковом растворе. Результаты исследований использованы при разработке нормативных документов по каменным конструкциям и разработке рекомендаций и проектов усиления каменных конструкций исторических зданий.

Выводы. Упругая характеристика кладки, выполненной на известковом и сложном растворах с добавкой извести, оказалась ниже нормативных значений. Получены коэффициенты поперечного расширения кладки (коэффициент Пуассона) при различных уровнях вертикальных напряжений, отсутствовавшие в нормативных документах. Прочность кладки на сжатие существенно превысила приведенные в нормах значения, чему во многом способствует качество выполняемых работ, а также особенности работы кладки из исторического кирпича.

Для цитирования:


Ищук М.К., Ищук Е.М. Исследования прочности и деформаций исторической кладки. Вестник НИЦ «Строительство». 2025;47(4):33-46. https://doi.org/10.37538/2224-9494-2025-4(47)-33-46. EDN: MKEEWQ

For citation:


Ishchuk M.K., Ishchuk E.M. Stress and strain studies of historical masonry. Bulletin of Science and Research Center of Construction. 2025;47(4):33-46. (In Russ.) https://doi.org/10.37538/2224-9494-2025-4(47)-33-46. EDN: MKEEWQ

Введение

При реконструкции и ремонте зданий с каменными конструкциями важно знать как прочностные характеристики кладки, так и деформационные. Неверная оценка деформационных характеристик кладки стен, столбов и т. д. может привести к некорректной оценке величины усилий, перераспределяемых между ними.

В настоящей работе приводятся результаты испытаний 16 образцов. Из них 9 образцов усиливались после первого этапа испытаний и испытывались вновь. Таким образом, количество испытаний образцов составило 25. Результаты испытаний усиленной кладки инъекцией раствора на втором этапе, в том числе в сочетании с косвенным армированием, приведены в работах авторов [1–4].

Было проведено пять серий испытаний на центральное сжатие равномерно распределенной нагрузкой и одна серия на местное сжатие.

Зависимость прочности кладки от прочности кирпича и раствора

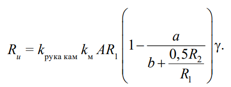
Л.И. Онищиком [5] предложена формула зависимости прочности кладки при одноосном сжатии от прочности кирпича и раствора:

γ, (1)

где R– предел прочности кладки на сжатие;

R1 – предел прочности кирпича на сжатие;

R– предел прочности раствора на сжатие;

= 0,2; b 0,3; m = 1,25; n = 3 – эмпирические коэффициенты, принимаемые по [5].

Коэффициент γ в (2) применяют при определении прочности кладки на растворах марок 25 и ниже.

А  коэффициент, показывающий степень использования в кладке прочности кирпича на сжатие, принимаемый по наименьшему значению, полученному по (2а), (2б), (2в):

A = min 

где Rub – предел прочности кирпича при изгибе;

Ru,sh – предел прочности кирпича при срезе.

Поскольку между Rub и Ru,sh существует корреляционная зависимость, со временем было принято решение отказаться от оценки коэффициента А по формуле (2в). Коэффициент γ в (1) применяют при определении прочности кладки на растворах марок М25 и ниже. В нашем случае для кладки из кирпича γ = 1.

В работе В.П. Некрасова [6] показано, что при пластичных глиняных и известковых растворах, сглаживающих неровности растворной постели, влияние качества разравнивания раствора в меньшей степени влияет на прочность кирпичной кладки. Для менее пластичных цементных растворов было предложено ввести понижающий коэффициент 0,7.

В работе американского исследователя Л.Б. Лента [7], напротив, показано, что в случае пластичных известковых растворов качество кладки сказывается в большей степени, чем в случае цементно-известковых.

В работах В.А. Камейко, С.А. Семенцова [8] и Л.И. Онищика [9] показано, что качество изготовления кладки, которое можно оценить коэффициентом kрука кам, может изменяться в пределах от 0,9 для малоквалифицированных каменщиков до 1,55. Начиная с 1949 г. в нормативных документах [10, 11] прочность кладки, определенная по формуле Л.И. Онищика, принята при kрука кам = 1. В работе Л.И. Онищика [12] приведены переводные эмпирические коэффициенты на различные формы и масштабы опытных образцов, которые мы обозначили kм. Подставив в (1) коэффициенты kрука кам и kм, получим видоизмененную формулу Л.И. Онищика:

  (3)

Следует отметить, что неучет качества изготовления кладки, формы и габаритов образцов является типичной ошибкой при проведении многих экспериментальных исследований. Учет этих факторов следует внести и в ГОСТ [13] по испытанию кладки на сжатие.

  1. Серии М1 и М1Иэп-тр

1.1. Материалы и методы экспериментальных исследований

Конструкции и материалы экспериментальных образцов

Образцы серий М1 и М1Иэп-тр имели габариты 0,25 × 0,38 × 0,9 м (рис. 1). Образцы выполнялись из кирпича, отобранного с ЦВЗ «Манеж» (далее – «Манеж»), марки М50 на известковом растворе прочностью на сжатие R2 = 0,8 МПа. При этом предварительно известковое тесто выдерживалось в залитой водой емкости более одного года. На рис. 1 показаны подготовленные к испытаниям образцы серии М1.

Методика проведения испытаний

Образцы испытывались равномерно распределенной нагрузкой на центральное сжатие в гидравлическом прессе (рис. 2). Верхняя плита пресса была оборудована шаровым шарниром, нижняя – заклинена.

Вертикальные и горизонтальные деформации определялись по перемещениям, измеряемым индикаторами часового типа с ценой деления 0,01 мм.

Образцы серии М1 испытывались в один этап. Образцы серии М1Иэп-тр, получившие трещины после испытания на первом этапе, усиливались инъекцией. Результаты испытаний усиленных образцов на втором этапе приведены в [2].

1.2. Результаты испытаний образцов кладки серий М1 и М1Иэп-тр

Характер разрушения опытных образцов

Первые трещины появлялись при уровне нагрузки 0,6–0,8 от предельного значения Nu. Трещины были преимущественно вертикальные и проходили по всей высоте образцов. Результаты испытаний приведены в табл. 1.

Прочность кладки

Среднее значение временного сопротивления кладки сжатию Ru у образцов с индексом «с», сложенных первым каменщиком (табл. 1), составило 2,2 МПа, а у образцов с индексом «д», сложенных вторым каменщиком, оно равно 1,8 МПа. При этом оба каменщика работали одновременно и пользовались раствором, замешенным в одной емкости. Таким образом, влияние квалификации каменщика («руки каменщика») составило более 20 %.

Упругие свойства кладки

На рис. 3 приведены зависимости вертикальных деформаций кладки от относительного уровня ее обжатия.

Предельные вертикальные деформации кладки εu составили 0,47 × 10-2. Горизонтальные предельные деформации εг,u оказались существенно выше (-1,1 × 10-3).

Модуль упругости кладки Епри уровне нагрузки N = 0,2Nu, когда нелинейные деформации еще невелики, составил 636 МПа.

Упругая характеристика кладки α, являющаяся коэффициентом пропорциональности между модулем упругости и временным сопротивлением Ru, равна:

Α = Е0/R= 300. (4)

Значения коэффициента поперечного расширения кладки (коэффициента Пуассона) при различных уровнях нагрузки приведены в табл. 2.

Рис. 1. Образцы кладки серии М1

Fig. 1. M1 series masonry samples

Рис. 2. Образец серии М1 в гидравлическом прессе

Fig. 2. M1 series masonry sample in a hydraulic press

Таблица 1

Результаты испытаний образцов кладки

Table 1

Results of testing masonry samples

Серия

№ образца

Nu,

МН

Габариты, м

Масштабный коэф. kм по [12]

Прочность кладки, Ru, МПа

Единичное

Средн.

Образцы из кирпича «Манеж» на известковом растворе

1

М1

№ 1с

0,24

~0,25 × 0,38

0,91

2,3

2,2

2

№ 2с

0,22

2,1

3

№ 3с

0,22

2,1

4

№ 7с

0,24

2,3

Образцы из кирпича «Манеж» на известковом растворе. После 1-го этапа усилены инъекцией

5

М1Иэп-тр

№ 1д

0,18

~0,25 × 0,38

0,91

1,7

1,8

6

№ 2д

0,20

1,9

Образцы из кирпича «Манеж» испытаны в один этап без усиления

7

М2

№ 4-1

0,60

~0,39× 0,51

1,0

3,0

3,0

8

№ 4-3

0,60

3,0

9

М3

№ 1Ст

0,15

~0,12× 0,24

0,75

3,9

4,1

10

№ 2Ст

0,19

4,9

11

№ 3Ст

0,14

3,6

Образцы из кирпича «Манеж» из комбинированной кладки. После испытания усилены инъекцией

12

М4-ЦС

№ 1-4д

0,84

~0,38 × 0,51

1,0

4,3

4,0

13

№ 2-5д

0,72

3,7

14

М5-МС

№ 3-8с

0,34

15

№ 4-9с

0,34

Образцы из кирпича БТ. После 1-го этапа усилены инъекцией

16

БТ-Иэп-тр

№ 2-1

0,13

~0,42 × 0,57

1,0

0,5

1,0

17

№ 2-2

0,35

1,5

18

№ 3-2

0,16

~0,39 × 0,52

0,8

0,8

Рис. 3. Образцы серий М1 и М1Иэп-тр. Зависимости вертикальных и горизонтальных деформаций кладки от относительного уровня ее обжатия

Fig. 3. M1 and M1-Iep-tr series masonry samples: dependence of vertical and horizontal strain on relative compression

Таблица 2

Коэффициент Пуассона при различных уровнях нагрузки

Table 2

Poisson’s ratio at various load levels

Уровень нагрузки, N/Nu

Деформации

Коэф. Пуассона, ν = εг/ε

вертик., ε × 10-2

горизонт., εг × 10-2

0,2

0,066

0,009

0,14

0,5

0,227

0,118

0,52

0,8

0,426

0,428

1,00

  1. Серия М3

2.1. Материалы и методы экспериментальных исследований

Из кирпича «Манеж» М50 на растворе прочностью на сжатие R2 = 6,6 МПа были изготовлены три образца с габаритами в плане 12 × 24 см (рис. 4).

Методика проведения испытаний была аналогичной для образцов серии М1.

2.2. Результаты испытаний образцов

Характер разрушения опытных образцов

Первые трещины появлялись при уровне нагрузки 0,7–0,9 от предельного значения Nu. Результаты испытаний приведены в табл. 1.

Прочность кладки

Прочность кладки Ru, средняя из испытаний трех образцов, с учетом масштабного коэффициента, равного 0,75, составила 4,1 МПа.

Упругие свойства кладки

Предельные деформации составили в среднем для трех образцов 0,47 × 10-2. Средний для трех образцов модуль упругости Е= 1188 МПа, упругая характеристика кладки α = 286.

Рис. 4. Образец серии М3 после испытаний на сжатие

Fig. 4. M3 series masonry sample after compression tests

  1. Серии М2, БТ-Иэп-тр

3.1. Материалы и методы экспериментальных исследований

Образцы имели габариты в плане 0,38 × 0,51 × 1,2 м и 0,42 × 0,57 × 1,2 м. Кладка образцов серии М2 велась из кирпича «Манеж» на растворе прочностью 3,3 МПа. Кладка образцов серии БТ-Иэп-тр велась из отобранного с Большого театра кирпича М100 и М50 на растворе низкой прочности 0,2 МПа. Образцы испытывались на центральное сжатие в гидравлическом прессе (рис. 5а).

3.2. Результаты испытаний

На рис. 5б приведена фотография образца серии БТ-Иэп-тр после первого этапа испытаний (до усиления). Разрушение происходило в результате образования вертикальных трещин, проходящих по кирпичу и вертикальным растворным швам. Трещины развивались равномерно по всей высоте образца, разделяя его на отдельные вертикальные столбики. Среднее значение временного сопротивления кладки из кирпича марки М100 составило 1,0 МПа, а из кирпича М50 – 0,8 МПа для образцов серии БТ-Иэп-тр и 3,0 МПа для образцов серии М2. В качестве примера на рис. 6 приведена зависимость вертикальных деформаций кладки от относительного уровня ее обжатия для образа серии БТ-Иэп-тр.

Предельные деформации кладки из кирпича М100 составили 3,2 × 10-3 – 4,5 × 10-3 и из кирпича М50 2,5 × 10-3. На рис. 6 приведен средний для образцов серии БТ-Иэп-тр график зависимости вертикальных деформаций кладки от относительного уровня ее обжатия. Упругая характеристика кладки α составила 818.

Рис. 5. Образец серии БТ-Иэп-тр: а – в процессе испытания; б – после испытания

Fig. 5. BT-Iep-tr series masonry sample: a – during testing; b – after testing

Рис. 6. Образцы серии БТ-Иэп-тр. Зависимость вертикальных деформаций кладки от относительного уровня ее обжатия

Fig. 6. BT-Iep-tr series masonry samples: dependence of vertical and horizontal strain on relative compression

  1. Образцы серий М4-ЦС и М5-МС

4.1. Материалы и методы экспериментальных исследований

Конструкции и материалы экспериментальных образцов

Образцы выкладывались из кирпича «Манеж» марки М50. Забутовка (внутренний слой кладки), обычно имеющая меньшую прочность по сравнению с лицевыми слоями, по свойствам была идентична образцам серии М1, выкладывалась на растворе прочностью 0,8 МПа и имела сечение в плане 0,25 × 0,38 м. Лицевые слои по свойствам были идентичны образцам серии М3, выкладывались на растворе прочностью 6,6 МПа и имели толщину по 0,12 м (рис. 7).

Перевязка забутовки и лицевых слоев осуществлялась через пять рядов кладки (рис. 8). Габариты образцов в плане составили 0,38 × 0,51 м, высота – четырнадцать рядов кладки (1,2 м).

Образцы обеих серий испытывались в два этапа. Получившие трещины на первом этапе образцы усиливались инъекцией раствора с добавкой гидравлической извести и косвенным армированием. В настоящей статье приведены результаты испытаний образцов на первом этапе.

Образцы серии М4-ЦС испытывались равномерно распределенной нагрузкой. Индикаторами часового типа с ценой деления 0,01 мм измерялись вертикальные перемещения. Образцы серии М5-МС были испытаны на местное сжатие с передачей нагрузки через стальную плиту шириной 25 см, уложенную по оси симметрии образца. Индикаторами часового типа с ценой деления 0,01 мм измерялись вертикальные перемещения в двух уровнях по высоте образцов.

4.2. Результаты испытаний образцов серии М4-ЦС (первый этап)

Характер разрушения опытных образцов серии М4-ЦС

Первые трещины появились на широких гранях по вертикальным швам между забутовкой и лицевыми слоями, а также по вертикальному шву между перевязочными кирпичами в двух верхних рядах кладки при уровне нагрузки 40–50 % от предельного значения. При уровне нагрузки 60–70 % от предельной появились трещины в лицевых слоях. Разрушение происходило в результате образования по всем граням вертикальных трещин (рис. 9).

Прочностные характеристики кладки образцов серии М4-ЦС

Средняя величина предельного вертикального усилия Nu составила 0,8 МН.

Упругие свойства кладки образцов серии М4-ЦС

На рис. 10 приведены эпюры вертикальных деформаций в образце № 1-4д. С ростом нагрузки деформации кладки забутовки все более превышают деформации лицевых слоев.

Рис. 7. Изготовление образца серии М4-ЦС: 1 – забутовка; 2 – лицевой слой

Fig. 7. Manufacturing of a M4-TsS series masonry sample: 1 – backfill; 2 – facing layer

Рис. 8. Образец серии М4-ЦС: 1 – забутовка; 2 – лицевой слой

Fig. 8. M4-TsS series masonry sample: 1 – backfill; 2 – facing layer

Рис. 9. Образец серии М4-ЦС после испытаний на сжатие равномерно распределенной нагрузкой

Fig. 9. M4-TsS series masonry sample after compression tests with a uniformly distributed load

Рис. 10. Эпюры вертикальных деформаций ε × 10-2 в средней по высоте части образца № 1-4д серии М4-ЦС при уровнях нагрузки: 1 – N = 0,5Nu2 – = 0,8Nu

Fig. 10. Diagrams of vertical strain ε × 10−2 in the middle height part of the M4-TsS series sample No. 1-4d at various load levels: 1 – N = 0.5Nu; 2 – = 0.8Nu

4.3. Результаты испытаний образцов серии М5-МС (первый этап)

Характер разрушения опытных образцов серии М5-МС

Первые видимые трещины образовались при уровне вертикального усилия 0,4Nu в вертикальных растворных швах по оси приложения усилия и по границам забутовки в верхней части образца. При уровне усилия 0,86Nu произошло практически полное отделение лицевых слоев от забутовки, за исключением нижней части образца. Таким образом, по мере роста нагрузки происходило выключение из работы кладки лицевых слоев вследствие их отделения от забутовки по их границам вертикальными трещинами в верхней части образца (рис. 11). По боковым граням в лицевых слоях в их верхней части произошло раскрытие горизонтальных растворных швов.

Прочностные характеристики кладки

Предельное вертикальное усилие Nu для образцов серии М5-МС на первом этапе испытаний составило 0,34 МН. Результаты испытаний приведены в табл. 1.

Деформации кладки образцов серии М5-МС

После образования трещин между забутовкой и лицевыми слоями деформации кладки лицевых слоев в верхней части образца по боковым граням несколько уменьшились и стали еще более отличаться от деформаций забутовки. В нижней части образца деформации отличались между собой не столь значительно вплоть до разрушения образцов (рис. 12).

Рис. 11. Образцы серии М5-МС после испытания на местное сжатие: а – № 3-9с; б – № 4-8с

Fig. 11. M5-MS series masonry samples after local compression tests: – No. 3-9s; b – No. 4-8s

Рис. 12. Эпюры вертикальных деформаций кладки в средней по высоте части образца серии М5-МС: а – № 4-8с; б – № 3-9с при уровне нагрузки; 1 – N = 0,5Nu2 – = 0,8Nu

Fig. 12. Diagrams of vertical strain in the middle-height part of the M5-MS series masonry sample: – No. 4-8s; b – No. 3-9s at a load level: 1 – N = 0.5Nu2 – = 0.8Nu

  1. Анализ результатов исследований

5.1. Сравним несущую способность кладки из исторического кирпича М50 на известковом растворе прочностью R= 0,8 МПа серии М1 с несущей способностью кладки из современного керамического кирпича той же марки.

Для кладки из кирпича «Манеж» прочностью на сжатие R= 6,2 МПа и изгиб R= 1,4 МПа конструктивный коэффициент А в (1) принимаем по изгибу (2б) как по наименьшему значению, равному 0,48. Коэффициент γ в (1) принимаем равным 1.

Отсюда прочность кладки по (1) равна:

 = 1,3 МПа.

Это значение в 1,7 раза меньше полученного с учетом масштабного коэффициента kм = 0,91 экспериментального значения R= 2,2 МПа.

Аналогично подсчитаны по (1) значения прочности кладки для образцов серий М3 и БТ-Иэп-тр. Для образцов серии М3, выполненной на растворе R2 = 6,6 МПа, экспериментальные значения R= 4,1 МПа превышают приведенные в нормах в 2 раза. Для образцов серии БТ-Иэп-тр, выполненной на растворе R2 = 0,2 МПа, экспериментальные значения R= 1,0 МПа превышают приведенные в нормах в 1,7 раза, однако в силу ограниченного количества образцов это значение рассматриваем как предварительное.

На рис. 13 показаны графики зависимости прочности кладки Rult из исторического кирпича (кривая 1), полученные из эксперимента, и современного кирпича (кривая 2), подсчитанные по формуле (1), от прочности кладочного раствора R2.

Рис. 13. Зависимости прочности кладки Rот прочности кладочного раствора R21 – кладка из исторического кирпича; 2 – кладка из современного кирпича

Fig. 13. Dependencies of the masonry strength Ru on the strength of the masonry mortar R2– historical brick masonry; 2 – contemporary brick masonry

Принимая в запас максимально возможную величину коэффициента kрука кам = 1,55, получаем превышение прочности испытанной кладки по отношению к полученной по формуле (3) на 10 %. В этой связи рекомендовано для кладки из исторического кирпича М50 на растворах прочностью М10–М50 ввести повышающий коэффициент 1,1.

5.2. Упругая характеристика кладки α = 300 для образцов из кирпича М50 на известковом растворе прочностью R2 = 0,8 МПа и α = 286 для образцов из кирпича М50 на растворе цементно-известковом прочностью R2 = 6,6 МПа. Таким образом, для практического применения для испытанной кладки из исторического кирпича на растворах прочностью 0,8–6,6 МПа может быть принято α = 300.

5.3. Коэффициент поперечного расширения кладки (коэффициент Пуассона) из исторического кирпича, выполненной на известковом растворе, ν = 0,14 при уровне вертикальных напряжений σ = 0,2Ru. При уровне напряжений, равном расчетному сопротивлению кладки = 0,5Ru, коэффициент ν = 0,52.

5.4. Упругая характеристика кладки α = 800 для образцов из кирпича М50–М100 на слабом жестком растворе без добавок извести прочностью R2 = 0,2 МПа, что может иметь место при выветренном растворе на участках ремонта кладки (например, вокруг оконных и дверных проемов).

5.5. При уровне равномерно распределенной нагрузки до 50 % от предельной была обеспечена совместная работа лицевых слоев с забутовкой. При местном приложении нагрузки отделение лицевых слоев от забутовки началось при уровне нагрузки 40 % от предельной.

5.6. Прочность кладки на сжатие целесообразно считать по видоизмененной формуле Л.И. Онищика (3) с введением в нее коэффициентов, учитывающих качество кладки (kрука кам) и влияние габаритов (kм).

Список литературы

1. <i>Ищук М.К., Фролова И.Г., Ищук Е.М.</i> Усиление каменных конструкций. Промышленное и гражданское строительство. 2006;(8):28–30.

2. <i>Ищук М.К., Ищук Е.М., Фролова И.Г.</i> Усиление кладки методом инъекции эпоксидной смолы. Промышленное и гражданское строительство. 2013;(4):48–51.

3. СТО 36554501-010-2008. Усиление кирпичной кладки методом инъекции эпоксидной смолы GLOBALPOX I-10/138/BT. Москва: НИЦ «Строительство»; 2008.

4. <i>Ищук М.К., Ищук Е.М., Гогуа О.К.</i> ЦНИИСК им. В.А. Кучеренко АО «НИЦ «Строительство». Методические указания по усилению каменной кладки, в том числе исторических зданий, инъекцией раствором [интернет]. Москва; 2019. Режим доступа: https://files.stroyinf.ru/Data2/1/4293720/4293720336.pdf.

5. <i>Онищик Л.И.</i> Каменные конструкции. Москва: Стройиздат; 1939.

6. <i>Некрасов В.П.</i> Теория прочности каменных кладок. Москва: Стройиздат; 1947.

7. <i>Лент Л.Б.</i> Кирпич и кирпичная кладка в США: (Исследования и испытания). Москва; Ленинград: ОНТИ. Глав. ред. строит. лит-ры; 1937.

8. <i>Камейко В.А., Семенцов С.А.</i> Состояние и основные направления исследований прочности каменных конструкций. В: Теоретические и экспериментальные исследования каменных конструкций: сб. тр. Москва: Стройиздат; 1978, с. 6–45.

9. <i>Онищик Л.И.</i> Пояснительная записка к главе 3. В: Нормы проектирования конструкций: проект. Материалы для урочного положения. 4 ред. Москва: Машстройиздат; 1949, с. 131–152.

10. Глава 3. Нормы проектирования каменных и армокаменных конструкций. В: Нормы проектирования конструкций (проект). Материалы для урочного положения. 4 ред. Москва: Машстройиздат; 1949, с. 37–63.

11. НиТУ 120-55. Нормы и технические условия проектирования каменных и армокаменных конструкций. Киев: Государственное издательство литературы по строительству и архитектуре; 1956.

12. <i>Онищик Л.И.</i> Особенности работы каменных конструкций под нагрузкой в стадии разрушения. В: Исследования по каменным конструкциям: сб. ст. Москва, Ленинград: Стройиздат; 1949, с. 5–44.

13. ГОСТ 32047-2012. Кладка каменная. Метод испытания на сжатие. Изм. №1 [интернет]. Режим доступа: https://docs.cntd.ru/document/1200101520.


Об авторах

М. К. Ищук
Центральный научно-исследовательский институт строительных конструкций (ЦНИИСК) им. В.А. Кучеренко АО «НИЦ «Строительство»
Россия

Михаил Карпович Ищук*, д-р техн. наук, заведующий лабораторией реконструкции уникальных каменных зданий и сооружений, ЦНИИСК им. В.А. Кучеренко АО «НИЦ «Строительство», Москва

ул. 2-я Институтская, д. 6, к. 1, г. Москва, 109428, Российская Федерация

e-mail: kamkon@yandex.ru



Е. М. Ищук
Центральный научно-исследовательский институт строительных конструкций (ЦНИИСК) им. В.А. Кучеренко АО «НИЦ «Строительство»
Россия

Евгений Михайлович Ищук, заведующий группой лаборатории реконструкции уникальных каменных зданий и сооружений, ЦНИИСК им. В.А. Кучеренко АО «НИЦ «Строительство», Москва

ул. 2-я Институтская, д. 6, к. 1, г. Москва, 109428, Российская Федерация

e-mail: ruskon@inbox.ru



Рецензия

Для цитирования:


Ищук М.К., Ищук Е.М. Исследования прочности и деформаций исторической кладки. Вестник НИЦ «Строительство». 2025;47(4):33-46. https://doi.org/10.37538/2224-9494-2025-4(47)-33-46. EDN: MKEEWQ

For citation:


Ishchuk M.K., Ishchuk E.M. Stress and strain studies of historical masonry. Bulletin of Science and Research Center of Construction. 2025;47(4):33-46. (In Russ.) https://doi.org/10.37538/2224-9494-2025-4(47)-33-46. EDN: MKEEWQ

Просмотров: 116

JATS XML


Creative Commons License
Контент доступен под лицензией Creative Commons Attribution 4.0 License.


ISSN 2224-9494 (Print)
ISSN 2782-3938 (Online)