Перейти к:
Исследования пространственных конструктивных решений зданий из гнутоформованных элементов
https://doi.org/10.37538/2224-9494-2025-4(47)-62-75
EDN: BQVXAL
Аннотация
Введение. В НИИЖБ им. А.А. Гвоздева выполнены исследования конструкций пространственных зданий с несущими сборными железобетонными элементами, изготовляемыми по технологии формования на плоскости с последующим погибом.
Цель. Разработка основ нормативной базы проектирования зданий из гнутоформованных элементов.
Материалы и методы. Проведены расчетно-теоретические исследования конструктивных решений купольных и сводчатых зданий с применением сборных гнутоформованных элементов. Получены данные о напряженно-деформированном состоянии конструкций зданий разных типоразмеров при различных схемах нагружения.
Результаты. На основании анализа результатов расчетно-теоретических исследований выполнена разработка рекомендаций по конструированию элементов и узлов, по армированию элементов. Разработаны предложения по нормированию параметров конструктивных элементов зданий для внесения в нормативную документацию. Даны предложения по внесению нового раздела по конструкциям пространственных зданий из гнутоформованных элементов в СП 387.1325800.2018.
Выводы. Разработанные рекомендации направлены на повышение эффективности проектных решений пространственных зданий.
Ключевые слова
Для цитирования:
Соколов Б.С., Иванов А., Пасхин Д.В., Титаев В.А. Исследования пространственных конструктивных решений зданий из гнутоформованных элементов. Вестник НИЦ «Строительство». 2025;47(4):62-75. https://doi.org/10.37538/2224-9494-2025-4(47)-62-75. EDN: BQVXAL
For citation:
Sokolov B.S., Ivanov A., Paskhin D.V., Titaev V.A. Flexible mould processing technology in spatial design concepts of buildings. Bulletin of Science and Research Center of Construction. 2025;47(4):62-75. (In Russ.) https://doi.org/10.37538/2224-9494-2025-4(47)-62-75. EDN: BQVXAL
В НИИЖБ им. А.А. Гвоздева выполнен комплекс научно-исследовательских и проектно-конструкторских работ по разработке основ проектирования пространственных зданий с несущими сборными железобетонными элементами, изготовляемыми по технологии формования на плоскости с последующим погибом.
Гнутоформованный сборный элемент представляет собой окаймленную по контуру ребром тонкую плиту, изогнутую по поверхности, близкой к поверхности гиперболического параболоида, что обеспечивает большую пространственную жесткость элементов и их высокую несущую способность в работе в составе сооружения.
Основные геометрические параметры унифицированного пространственного элемента приведены на рис. 1. Элемент имеет в плане в общем случае ромбовидную форму вытянутого четырехугольника, в частном случае a = l / 2 – форму правильного ромба.
Размеры элемента (b, l, h) и стрела его подъема f1 определяются геометрическими параметрами и формой поверхности сборной конструкции и ограничиваются транспортными габаритами и грузоподъемностью кранового оборудования.
Гнутоформованные элементы изготавливают по технологии формования на плоскости с последующим погибом. Плоскую плиту габаритами с × l, контур которой показан пунктиром на рис. 1, готовят в форме, представляющей собой соединенные линейным шарниром на оси Х две половины жесткой рамы (рис. 2), к которым прикреплен гибкий стальной лист [1].
После формования плоской плиты элементы жесткой рамы с бортами формы поворотом в шарнирах поднимают на требуемую высоту h, при этом свежеотформованная плита, провисая на стальном листе, изгибается, приобретая проектное криволинейное очертание и проектные размеры в плане 2b × l. После достижения бетоном изделия необходимой прочности борта формы откидываются, а изделие извлекается из формы.
Непосредственно перед съемом ромбических элементов с формы на них устанавливается монтажная затяжка, обеспечивающая их целостность при складировании, транспортировке и монтаже. Затяжка устанавливается на верхней поверхности в наиболее широком сечении элемента и крепится к бортовым закладным деталям болтовым соединением. Демонтаж затяжек выполняется после сварки закладных деталей сборных элементов, установленных в проектное положение.
Поле оболочки ромбических элементов армируется ткаными сетками из стальной проволоки или стальной фиброй. Контурные ребра сборных гнутоформованных элементов армируются плоскими каркасами из стальной стержневой арматуры. Закладные детали и монтажные петли ромбических и плитных элементов располагаются в контурных ребрах и крепятся вязальной проволокой или сваркой к плоским каркасам ребер.
Технология погиба плоских свежеотформованных плит базируется на свойстве свежеуложенного на гибком поддоне слое бетона претерпевать под действием собственного веса деформации изгиба без нарушения его целостности [2–4]. В силу собственной жесткости тканые сетки, армирующие плиту элемента, в процессе изготовления гнутоформованных элементов при свободном провисании гибкого поддона со свежеотформованной плитой стремятся образовать местные складки с выходом их из бетонного слоя. Во избежание выпучивания сеток и расслоения бетона при изгибе опалубочной формы тканые сетки следует располагать под углом 30–45° к оси погиба. В этом случае тканая сетка в процессе погиба деформируется за счет изменения формы ячейки сетки.
Поле плоской плиты в процессе погиба приобретает форму оболочки отрицательной гауссовой кривизны (рис. 3). В работе [5] приведено математическое описание такой оболочки в виде гиперболического параболоида, подтвержденное сопоставлением теоретической геометрии с фактической геометрией натурных конструкций. Проще и с достаточной точностью поверхность может быть описана более простой формулой, приведенной ниже.
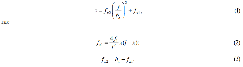
В общем случае элемента в форме вытянутого четырехугольника поверхность готового элемента в системе координат с точкой [0;0;0] в начале длинной диагонали (рис. 3) может быть описана уравнением:

В формулах (1) и (3):


Величина f1 для ромба (a = l / 2) может быть приближенно определена по формуле:
. (4)
Значение f1 может быть уточнено определением значения стрелы провиса f2 из равенства ширины плоской плиты с (рис. 1) длине параболы сечения плиты после ее изгиба:
. (5)
Рекомендуется для первого приближения использовать приближенное значение f2 по формуле (4) с дальнейшим последовательным увеличением величины f2 c небольшим шагом до достижения равенства правой и левой частей формулы (5).
Для элементов в форме вытянутого четырехугольника (a > l / 2) определение величины f1 выполняется по формулам (4), (5) с заменой b, h и с величинами соответственно:

В проектном положении ромбический элемент располагается под некоторым углом α к горизонту. Преобразование координат точек поверхности поворотом на угол α вокруг оси Y осуществляется с использованием зависимостей:
(6)
Сочетание ромбических элементов позволяет осуществить оптимальное членение поверхностей вращения (купольных и цилиндрических) на минимальное число типоразмеров сборных элементов. На основе различных комбинаций однотипных ромбических элементов выполняются пространственные несущие системы зданий купольной (рис. 4) и сводчатой (рис. 5) форм, а также сочетаний этих форм (рис. 6), в том числе с использованием плоских сборных элементов.
В рамках научно-исследовательской работы по разработке предложений по нормированию технических параметров несущих железобетонных конструкций пространственных зданий с применением сборных гнутоформованных элементов были выполнены расчетно-теоретические исследования, включающие разработку методики расчета и рекомендаций по конструированию таких зданий, их элементов и узлов.
Разработанная методика расчета таких конструкций методом конечных элементов (МКЭ) включает методику построения расчетных моделей для различных проектных ситуаций и принципиальные подходы к оценке результатов расчетов. В ходе исследования выполнены многовариантные расчеты купольных и сводчатых зданий с учетом физической и геометрической нелинейностей с использованием конечно-элементного программного комплекса ING+.
Исследования проведены на расчетных моделях двух типоразмеров сводчатых зданий и двух типоразмеров купольных зданий (рис. 7 и 8). Сводчатые здания приняты пролетом 12 м с высотой здания в коньке 6 м и пролетом 18 м с высотой здания 9 м. Моделируемые купольные здания имели диаметр в плане 24 м с высотой в вершине 6,5 м и диаметр в плане 30 м с высотой 8,125 м.

Рис. 1. Общий вид гнутоформованного ромбического элемента
Fig. 1. General view of a rhombic FMP element

Рис. 2. Схема формы для изготовления гнутоформованных элементов: а – план; б, в – поперечный разрез соответственно в исходном и согнутом состояниях; 1 – гибкий поддон; 2 – жесткий поддон; 3 – элемент жесткой рамы; 4 – откидной борт; 5 – соосные шарниры; 6 – ось шарниров
Fig. 2. Mould for manufacturing FMP elements: a – plan view; b, c – cross-section in the initial and processed states, respectively; 1 – flexible mould; 2 – rigid mould; 3 – rigid frame element; 4 – drop side; 5 – coaxial hinges; 6 – hinge axis

Рис. 3. Геометрические параметры ромбического элемента в форме вытянутого четырехугольника
Fig. 3. Geometric parameters of a rhombic element in the form of an elongated quadrilateral

Рис. 4. Купольная оболочка пролетом 24 м в виде многогранника, вписанного в часть сферы радиусом 14,3 м: 1, 2, 3 – ромбические элементы соответственно 1, 2 и 3 ярусов; 4 – затяжка
Fig. 4. Dome shell with a span of 24 m in the form of a polyhedron inscribed in a part of a sphere with a radius of 14.3 m: 1, 2, 3 – rhombic elements of tiers 1, 2, and 3, respectively; 4 – tie

Рис. 5. Сводчатое здание многоцелевого назначения из гнутоформованных элементов и плоских треугольных плит: 1 – пространственные элементы покрытия; 2 – стеновые пространственные элементы; 3, 4 – плоские ребристые треугольные элементы
Fig. 5. Vaulted multi-purpose building made of FMP elements and flat triangular slabs: 1 – spatial roof elements; 2 – spatial wall elements; 3, 4 – flat ribbed triangular elements

Рис. 6. Примеры компоновок зданий
Fig. 6. Examples of building layouts

Рис. 7. Общий вид расчетной модели МКЭ сводчатого здания пролетом 1٨ м
Fig. 7. FEM model of a vaulted building with a span of 18 m

Рис. 8. Общий вид расчетной модели МКЭ купольного здания диаметром 30 м
Fig. 8. FEM model of a domed building with a diameter of 30 m
В результате выполненных исследований получены данные о напряженно-деформированном состоянии конструкций зданий при различных схемах нагружения, в том числе при равномерно распределенных нагрузках, при неравномерно распределенных нагрузках, при действии сосредоточенных нагрузок по наиболее вероятным схемам их размещения. Выполнены расчеты требуемого армирования ребер зданий при действии основных сочетаний нагрузок.
Выполнено исследование общей устойчивости зданий. При проектных конструктивных параметрах минимальные коэффициенты устойчивости составили для сводчатых зданий 13,8, для купольных – 35,9.
Выполнено исследование устойчивости против прогрессирующего обрушения при отказах отдельных элементов. В качестве наиболее потенциально опасных для сводчатых зданий рассмотрена ситуация разрушения поля оболочки одного из опорных ромбических элементов, для купольных зданий – ситуация выхода из работы одной из вертикальных опор. Результаты расчетов показали высокую устойчивость оболочечных элементов против прогрессирующего обрушения за счет перераспределения усилий в конструкциях. При этом ребра конструкций в отдельных случаях потребовали некоторого увеличения армирования по сравнению с полученным из расчетов на основные сочетания.
По результатам комплекса исследований, в том числе экспериментальных на физических моделях [6–8], в проектных расчетах для интегрального учета влияния ползучести при длительном действии нагрузки рекомендовано расчетные значения модулей деформаций и сдвига принимать пониженными в соответствии с п. 6.1.15 СП 63.13330.2018 [9].
В соответствии с п. 4.2.19 СП 387.1325800.2018 [10] расчет по устойчивости формы тонкостенных оболочек ромбических элементов рекомендовано производить с учетом начальных несовершенств и деформаций ползучести бетона при длительном действии нагрузки. Учет начальных несовершенств в оболочках ромбических элементов рекомендуется выполнять умножением модуля деформаций бетона на коэффициент 0,75.
Учитывая пологость ромбических элементов, действие снеговых нагрузок на здания сводчатой и купольной форм допускается выполнять по равномерной и неравномерной схемам распределения соответственно по Б.1 и Б.11 (вариант 2) СП 20.13330.2016 [11], а действие ветровых нагрузок на здания сводчатой и купольной форм – соответственно по В.1.3 и В.1.4 [11].
Оценка несущей способности зданий из гнутоформованных элементов может быть выполнена на основе метода предельного равновесия с использованием схемы излома и формы разрушения, установленных испытаниями моделей конструкций до разрушения [12].
Расчетно-теоретическими исследованиями, проектными проработками [13–15] и технико-экономическими расчетами выявлены границы областей рациональных значений нормируемых конструктивных параметров зданий данного типа и разработаны предложения по назначению этих параметров для использования при разработке нормативных документов на проектирование. В частности, на основании данных о напряженном состоянии конструкций даны рекомендации по соотношению основных размеров зданий. Рекомендуемая высота сводчатых зданий в коньке составляет 0,4–0,6 длины пролета, а уклон покрытия – не менее 15 %. Рекомендуемая высота купольных зданий в вершине составляет не менее 0,25 диаметра опорного контура здания. Даны рекомендации по назначению основных геометрических размеров и толщин сечений ромбических элементов. Для зданий купольной формы даны рекомендации по устройству опорных узлов с обеспечением их шарнирности и совместности работы с затяжкой.
Монтаж сводчатых зданий выполняется с использованием переставных монтажных стоек, располагаемых по линии конька здания под узлами опирания ромбических элементов. Перестановку стоек на новый монтажный участок можно выполнять после сварки закладных деталей сборных элементов, установленных в проектное положение, и замоноличивания швов.
В купольных зданиях монтажная стойка устанавливается под вершиной купола. Монтаж купольного здания выполняется блоками из четырех предварительно собранных элементов трех ярусов. Блоки устанавливаются попарно: после монтажа одного блока парный блок устанавливается с противоположной от стойки стороны.
Для обоих типов зданий разработаны рекомендации по расчету на различных стадиях монтажа, включающие особенности расчетных моделей и действующих нагрузок.
Технология формования конструкции на плоскости с последующим погибом, с учетом результатов выполненных исследований, открывает перспективу изготовления криволинейных элементов не только ромбической, но и иных пространственных форм. В их числе сборные сегментные оболочки покрытий из выпуклых или вогнутых криволинейных конических элементов [16], в том числе конструкций силосов [17], покрытия в виде купольных и зонтичных оболочек, ряд конструктивных решений малых архитектурных форм [18], гнутоформованные трехслойные конструкции [19–21].
Результаты выполненных исследований положены в основу при разработке нового раздела СП 387.1325800 по конструкциям пространственных зданий из гнутоформованных элементов, что даст нормативную базу для их проектирования и расширит сферу применения пространственных конструкций в строительстве.
Список литературы
1. <i>Шугаев В.В., Людковский А.М., Левина С.Г., Суворкин К.Д., Хатиашвили Н.Н.</i> Форма для изготовления тонкостенных криволинейных изделий из бетонных смесей: авт. свид. SU 1583297 A1. Опубл. 07.08.1990.
2. <i>Шаншиев А.К.</i> Технология изготовления армоцементных гнутоформованных пространственных конструкций. Армоцемент и армоцементные конструкции: тез. докл. и сообщ. к науч.-техн. совещ. Ленинград; 1961, с. 106–110.
3. <i>Илларионова Л.Ф.</i> Конструкция и монтаж сборных безрулонных крыш из складчатых армоцементных элементов, изготовляемых по способу виброгнутья на листогибочных поддонах. В: Армоцемент и армоцементные конструкции: материалы науч. совещ. Москва: Госстройиздат; 1962.
4. <i>Шугаев В.В.</i> Пространственные конструкции из элементов, формуемых на плоскости с последующим погибом. В: Исследования железобетонных тонкостенных пространственных конструкций. Москва: НИИЖБ; 1991, с. 5–37.
5. <i>Соколов Б.С., Титаев В.А., Пасхин Д.В.</i> Сборные оболочки из гнутоформованных элементов. Вестник НИЦ Строительство. 2021;(3):66–77. https://doi.org/10.37538/2224-9494-2021-3(30)-66-77.
6. <i>Шугаев В.В., Хатиашвили Н.Н.</i> Железобетонные оболочки из тонкостенных ромбических элементов. В: Строительство и архитектура. Сер. 8: Строительные конструкции: обзорная информация. Москва: ВНИИИС; 1986, Вып. 7, с. 2–4.
7. <i>Шугаев В.В., Хатиашвили Н.Н.</i> Экспериментально-теоретические исследования оболочек из тонкостенных железобетонных ромбических элементов гнутого профиля. В: Прогрессивные пространственные конструкции и перспективы их применения: сб. Свердловск: Свердлов. архит. ин-т; 1985, с. 27–29.
8. <i>Шугаев В.В., Столыпина Л.И., Гагуа Н.И., Соколов Б.С., Левина С.Г.</i> Пространственные конструкции из гнутоформованных дисперсно-армированных элементов. В: Пространственные конструкции: материалы семинара: сб. Москва; 1991, с. 192–200.
9. СП 63.13330.2018. Бетонные и железобетонные конструкции. Основные положения [интернет]. Москва: Минстрой России; 2018. Режим доступа: https://nav.tn.ru/cloud/iblock/f5b/f5b5eb39fe907589327bf01914c30df4/SP-63.13330.2018-Betonnye-i-zhelezobetonnye-konstruktsii.-Osnovnye-polozheniya.pdf.
10. СП 387.1325800.2018. Железобетонные пространственные конструкции покрытий и перекрытий. Правила проектирования. Москва: Стандартинформ; 2018.
11. СП 20.13330.2016. Нагрузки и воздействия. Актуализированная редакция СНиП 2.01.07-85*. Москва: Стандартинформ; 2018.
12. СНиП 2.01.07-85*. Нагрузки и воздействия. Москва: ФГУП ЦПП; 2005.
13. <i>Шугаев В.В.</i> Расчет и проектирование железобетонных оболочек из ромбических элементов гнутого профиля. В: Пространственные конструкции зданий и сооружений: сб. ст. Москва: Стройиздат; 1991, Вып. 6, с. 193–212.
14. Неотапливаемое здание универсального назначения из сталефибробетона (для экспериментального строительства). Рабочие чертежи Э-592.02-84. Ленинград: ЛенЗНИИЭП; 1984.
15. Железобетонное пространственное покрытие из криволинейных сборных элементов. Рабочие чертежи опытного покрытия 2ПК-078-1-82 КЖИ. Москва: КТБ НИИЖБ; 1982.
16. Здание павильонного типа из гнутоформованных элементов пролетом 18 м. Рабочие чертежи опытного здания 08.ПК.39.2.89. КЖИ. Москва: КТБ НИИЖБ; 1989.
17. Склады сыпучих материалов купольного типа, выполняемые из фибробетона. Шифр ТП-14-265. Ленинград: ЛенПСП; 1982.
18. <i>Shugaev V.V., Sokolov B.S.</i> Innovative Spatial Structures of R.C. Silos. In: Proc. of the IASS Int. Symp. “Conceptual Design of Structures”. Univ. of Stuttgart, Germany; 1996, pp. 953–960.
19. Покрытие группового навеса для павильона торговой ярмарки. Рабочие чертежи опытного покрытия 08.ПК.291.04.88.КЖИ. Москва: КТБ НИИЖБ; 1988.
20. <i>Эпштейн М.А., Снеговской А.И., Шугаев В.В., Соколов Б.С.</i> Сборные пространственные покрытия из трехслойных гнутоформованных элементов. Монтажные и специальные работы в строительстве. 2000;(6):2–4.
21. <i>Эпштейн М.А., Шугаев В.В., Соколов Б.С.</i> Возможности применения метода погиба для производства трехслойных железобетонных элементов покрытий. Технологии бетонов. 2006;(6):44–45.
22. <i>Эпштейн М.А., Шугаев В.В., Соколов Б.С.</i> Армирование трехслойных ограждающих конструкций криволинейной формы, изготавливаемых методом погиба. Технологии бетонов. 2007;(2):28–29.
Об авторах
Б. С. СоколовРоссия
Борис Сергеевич Соколов*, канд. техн. наук, заведующий лабораторией тонкостенных и пространственных конструкций, НИИЖБ им. А.А. Гвоздева АО «НИЦ «Строительство», Москва
2-я Институтская ул., д. 6, к. 5, г. Москва, 109428, Российская Федерация
e-mail: moo-shell@mail.ru
А. Иванов
Россия
Акрам Иванов, д-р техн. наук, главный научный сотрудник лаборатории тонкостенных и пространственных конструкций, НИИЖБ им. А.А. Гвоздева АО «НИЦ «Строительство», Москва
2-я Институтская ул., д. 6, к. 5, г. Москва, 109428, Российская Федерация
Д. В. Пасхин
Россия
Дмитрий Владимирович Пасхин, заместитель заведующего лабораторией тонкостенных и пространственных конструкций, НИИЖБ им. А.А. Гвоздева АО «НИЦ «Строительство», Москва
2-я Институтская ул., д. 6, к. 5, г. Москва, 109428, Российская Федерация
В. А. Титаев
Россия
Виталий Александрович Титаев, канд. техн. наук, доцент, ведущий научный сотрудник лаборатории тонкостенных и пространственных конструкций, НИИЖБ им. А.А. Гвоздева АО «НИЦ «Строительство»; доцент кафедры железобетонных конструкций, НИУ МГСУ, Москва
2-я Институтская ул., д. 6, к. 5, г. Москва, 109428, Российская Федерация; Ярославское шоссе, д. 26, г. Москва, 129337, Российская Федерация
Рецензия
Для цитирования:
Соколов Б.С., Иванов А., Пасхин Д.В., Титаев В.А. Исследования пространственных конструктивных решений зданий из гнутоформованных элементов. Вестник НИЦ «Строительство». 2025;47(4):62-75. https://doi.org/10.37538/2224-9494-2025-4(47)-62-75. EDN: BQVXAL
For citation:
Sokolov B.S., Ivanov A., Paskhin D.V., Titaev V.A. Flexible mould processing technology in spatial design concepts of buildings. Bulletin of Science and Research Center of Construction. 2025;47(4):62-75. (In Russ.) https://doi.org/10.37538/2224-9494-2025-4(47)-62-75. EDN: BQVXAL
JATS XML


















